
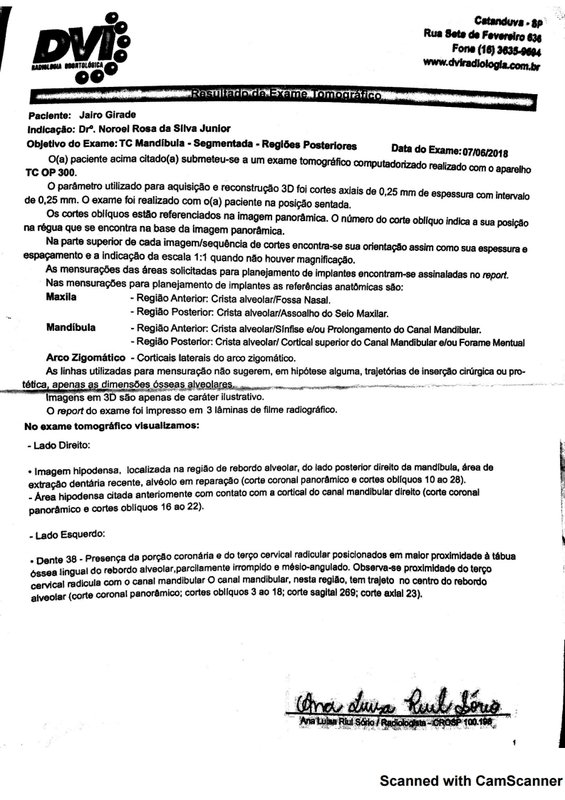
Jairo Girade de 19 anos, reside na cidade de Catanduva / SP foi diagnosticado com Câncer na Mandíbula.
Atualmente ele não está podendo sair de casa e um dos Hobbies dele que é jogar CS - GO está se tornando a atividade principal, de dia, tarde, noite e madrugada. Assim de uma forma feliz consegue se distrair e dar risadas com os amigos.
Dia 17/10/2018 ele fará uma Cirurgia em São Paulo, para retirada do Tumor e reconstrução da Mandíbula. A cirurgia ficará em um Valor de R$ 80.000,00 + Despesas com diárias do hospital, translado, medicação e hospedagem. Devido ao seu Plano de Saúde não cobrir o valor integral decidimos criar está Vaquinha para arrecadar fundos e ajudar esse garoto que por mais que esteja passando por tudo isso ainda continua sorrindo e distribuindo felicidade a quem o acompanha.
Redes Sociais:
- Fabebook: https://www.facebook.com/jairo.girade
- Facebook Time Cs Go: https://www.facebook.com/cuteteamcsgo
- Instagram: https://www.instagram.com/jairogirade/
LAUDOS:



